• ПОМОГИТЕ РЕШИТЬ ПОЖАЛУЙСТА:

    2)Доказать тождество.

    question img

Ответы 1

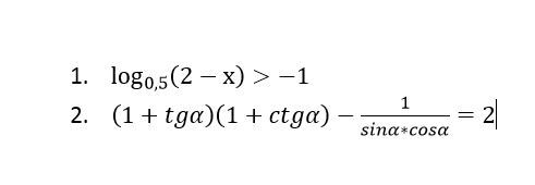
  • 1{2-x>0⇒x<2{2-x<2⇒x>0x∈(0;2)2(sin2a)/2≠0sin2a≠02a≠πn,n∈za≠πn/2,n∈z1+tga+ctga+1-1/sinacosa=2sina/cosa+cosa/sina -1/sinacosa=0(sin²a+cos²a)/sinacosa-1/sinacosa=01/sinacosa-1/sinacosa=00=0a-любое,кроме a=πn/2
  • Добавить свой ответ

Еще вопросы

Войти через Google

или

Забыли пароль?

У меня нет аккаунта, я хочу Зарегистрироваться

How much to ban the user?
1 hour 1 day 100 years