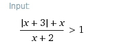
• Добрый вечер. Как такое решать? Я попробовал сделать совокупность уравнений состоящую из двух систем..
    x>0 ; x+3 +x >x +2
    и
    x<0; x+3+x>x+2
    но как-то как-то..

    question img

Ответы 2

  • спасибо.
  • 1)x<-3(-x-3+x)/(x+2) -1>0(-3-x-2)/(x+2)>0(x+5)/(x+2)<0x=-5  x=-2         +             _                +----------(-5)-----------(-2)--------------5<x<-2 U x<-3x∈(-5;-3)2)x>-3(x+3+x)/(x+2)-1>0(2x+3-x-2)/(x+2)>0(x+1)/(x+2)>0x=-1  x=-2      +             _                +----------(-2)-----------(-1)-------------x<-2 U x>-1 U x>-3x∈(-3;-2) U (-1;∞)Ответ x∈(-5;-3) U (-3;-2) U (-1;∞)
    • Автор:

      linus
    • 6 лет назад
    • 0
  • Добавить свой ответ

Войти через Google

или

Забыли пароль?

У меня нет аккаунта, я хочу Зарегистрироваться

How much to ban the user?
1 hour 1 day 100 years