• Помогите, ребятки!
    Буду очень благодарна, пожалуйста!:3

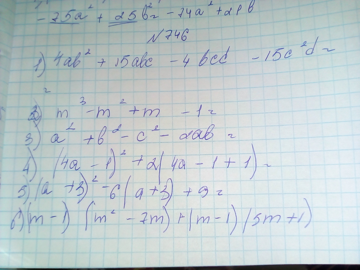
    question img

Ответы 1

  • 1) 4ab^2+15abc-4bcd-15c^2d=(4ab^2+15abc)-(4bcd+15c^2d)= ab(4b+15c)-cd(4b+15c)=(ab-cd)(4b-15c)2) m^3-m^2+m-1=(m^3-m^2)+(m-1)=m^2(m-1)+(m-1)=(m^2+1)(m-1)3) a^2+b^2-c^2-2ab=(a^2-2ab+b^2)-c^2=(a-b)^2-c^24) (4a-1)^2+2(4a=1-1)=(4a-1)^2+2*4a=16a^2-8a+1+8a=16a^2+15) (a+3)^2-6(a+3)+9=a^2+6a+9-6a-18+9=a^26) (m-1)(m^2-7m)+(m-1)(5m+1)=(m-1)(m^2-7m+5m+1)=(m-1)(m^2-2m+1)=m^3-2m+m-m^2+2m-1=m^3-3m^2+3m-1В 6ом не уверена.Надеюсь, помогла.
  • Добавить свой ответ

Войти через Google

или

Забыли пароль?

У меня нет аккаунта, я хочу Зарегистрироваться

How much to ban the user?
1 hour 1 day 100 years