Помогите пожалуйста с решением показательной и логарифмической функций.
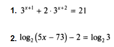
1. 3^(x+1) + 2*3^(x+2)=0
2. log2(5x-73)-2=log2(3)
ВНИМАНИЕ! нужно именно решение, а не ответы!
Предмет:
АлгебраАвтор:
cottonballсмотри два
во влаженииии)))))))))))
Автор:
maximilianomaldonadoДобавить свой ответ
как изменилась энергия в атоме водорода при испускании этим атомом фотона с длиной волны 2,43 умножить на 10 в минус 7 степени
Предмет:
ФизикаАвтор:
severinochycОтветов:
Смотреть
Предмет:
Русский языкАвтор:
alancastilloОтветов:
Смотреть
Помогите пожалуйста навставитьне достающие слова на немецком языке Sie wollen zum Faschingsfest hier ________________ und ihre Bastelarbeiten den ____________zeigen.
Предмет:
Другие предметыАвтор:
khanОтветов:
Смотреть
найти расстояние между точками М (-2,8) и К(1,6) на координатной прямой
Предмет:
ГеометрияАвтор:
víctorcarrilloОтветов:
Смотреть