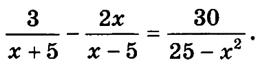
• Решить рациональное дробно уравнение.

    Уравнение картинкой.

    question img

Ответы 1

  • 3/х+5 - 2х/(х-5) -30/(5-х)(5+х)=0 3/(х+5)-2х(х-5)+30/(х-5)(х+5)=0    (х-5)(х+5)≠0-общий знаменатель  3*(х-5)-2х*(х+5)+30=0   3х-15-2х²-10х+30=0  -2х²-7х+15=0   2х²+7х-15=0    D=7²-4*2*-15=49+120=169   x1=(-7-13)/4=-5  x2=(-7+13)/4=1.5  -5 посторонний корень т.к. при х=5 знаменатель обращается в 0ответ 1,5
    • Автор:

      fred70
    • 6 лет назад
    • 0
  • Добавить свой ответ

Войти через Google

или

Забыли пароль?

У меня нет аккаунта, я хочу Зарегистрироваться

How much to ban the user?
1 hour 1 day 100 years