• пожалууйста... помогите..
    решить уравнения и системы...
    35б..

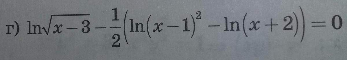
    question img
    question img

Ответы 1

  • Использованы свойства логарифмов
    answer img
    • Автор:

      napoleon
    • 6 лет назад
    • 0
  • Добавить свой ответ

Еще вопросы

Войти через Google

или

Забыли пароль?

У меня нет аккаунта, я хочу Зарегистрироваться

How much to ban the user?
1 hour 1 day 100 years