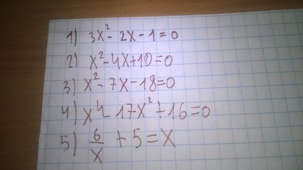
• Ребята помогите пожалуйста подробно решить и если можете напишите формулу дескрименанты, потому что лежу в больнице и сам немогу разобраться(

    question img
    question img

Ответы 3

  • огромное вам спасибо! А дискриминанта находится по формулеD=b²-4ac? 
  • Да. Дискриминант только
  • спасибо
  • Добавить свой ответ

Войти через Google

или

Забыли пароль?

У меня нет аккаунта, я хочу Зарегистрироваться

How much to ban the user?
1 hour 1 day 100 years