• Помогите пожалуйста решить неравенства, очень надо:

    question img

Ответы 1

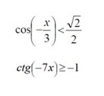
  • cos(-\frac{x}{3}) \ \textless \  \frac{\sqrt2}{2}\\cos\frac{x}{3} \ \textless \  \frac{\sqrt2}{2}\\\frac{\pi}{4}+2\pi n\ \textless \ \frac{x}{3}\ \textless \ \frac{7\pi}{4}+2\pi n\\\frac{3\pi}{4}+6\pi n\ \textless \ x\ \textless \ \frac{21\pi}{4}+6\pi n, \; n\in Z;\\\\ctg(-7x) \geq -1\\-ctg7x \geq -1\\ctg7x \leq 1\\\pi n \leq 7x \leq \frac{\pi}{4}+\pi n\\\frac{\pi n}{7} \leq x \leq \frac{\pi}{28}+\frac{\pi n}{7}
    answer img
    • Автор:

      jesus55
    • 6 лет назад
    • 0
  • Добавить свой ответ

Войти через Google

или

Забыли пароль?

У меня нет аккаунта, я хочу Зарегистрироваться

How much to ban the user?
1 hour 1 day 100 years