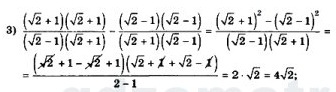
• Подскажите пожалуйста!
    Куда пропадает знаменатель в конце?

    question img

Ответы 1

  • там в знаменателе 2-1, если из двойки вычтем единицу получим единицу, числитель разделим на полученный знаменатель один, если любое число разделим на один, получим тоже число, или единицу можно в знаменателе не писать
    • Автор:

      aarav
    • 6 лет назад
    • 0
  • Добавить свой ответ

Еще вопросы

Войти через Google

или

Забыли пароль?

У меня нет аккаунта, я хочу Зарегистрироваться

How much to ban the user?
1 hour 1 day 100 years