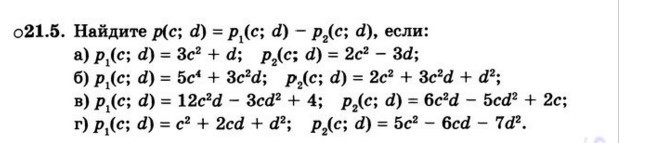
• Помогите очень надо! Даю 55 баллов. Надо делать под буквами В и Г

    question img
    question img

Ответы 2

  • Спасибо
  • незнаю что дальше, вроде сократить никак
    answer img
  • Добавить свой ответ

Войти через Google

или

Забыли пароль?

У меня нет аккаунта, я хочу Зарегистрироваться

How much to ban the user?
1 hour 1 day 100 years