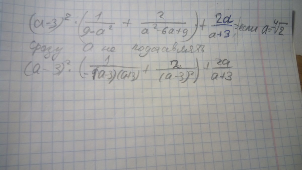
• Пожалуйста помогите дальше дорешать)))Сейчас,пожалуйста. Задание не сложное,но я пока не знаю какой будет общий знаменатель

    question img

Ответы 1

  • Прошу прощения за качество снимка.
    answer img
  • Добавить свой ответ

Еще вопросы

Войти через Google

или

Забыли пароль?

У меня нет аккаунта, я хочу Зарегистрироваться

How much to ban the user?
1 hour 1 day 100 years