• ПОЖАЛУЙСТАААААА! ПОМОГИТЕ РЕШИТЬ УРАВНЕНИЕ!!!!!!!!!!!
    ПОЖАЛУУУЙЙСТАААА!!!!!!!!!!!!!!!!!!!!!!!!!!!!!!!!!
    СРОЧНО НУЖНО!!!!!!!!!!!!!!!!!!!!!!!!!!!!!!!!!!!!!!!!!!!!!!!!!!!!!!!!!!!!!!!!!!!!!!!!!!!!!!!!!!!!!!!!

    question img

Ответы 2

  • Спасибо)
    • Автор:

      aurora
    • 6 лет назад
    • 0
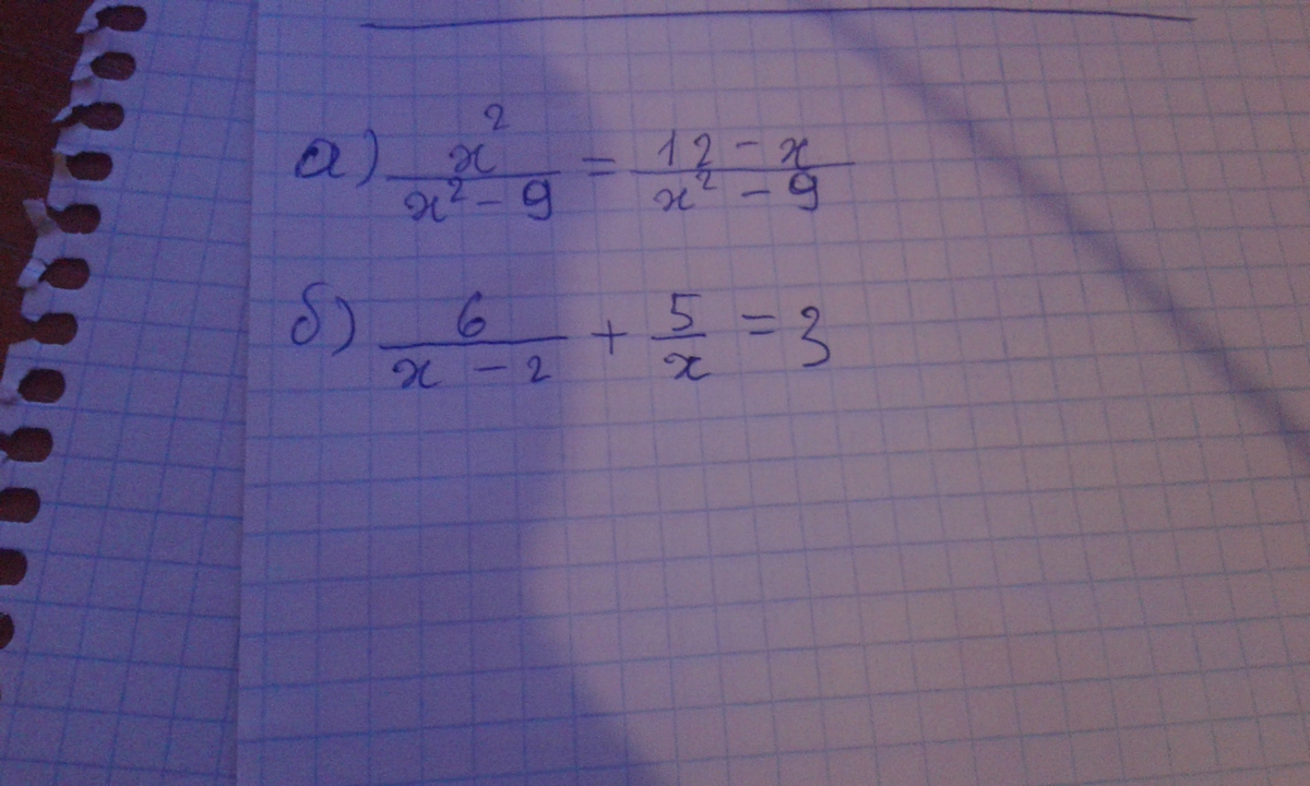
  • х^2+х-12=0 ОДЗ:х не равен +3;-3По т. Виетах=-4х=3, не принадлежит ОдзОтвет: -42) 6х+5х-10=3х^2-6хОдз: х не равег 0; 23х^2-6х-11х+10=03х^2-17х+10=0Д=17^2-10×3×4=169=13^2х=(17+13)/6=5х=(17-13)/6=2/3Ответ: 5 и 2/3
    • Автор:

      michael35
    • 6 лет назад
    • 0
  • Добавить свой ответ

Войти через Google

или

Забыли пароль?

У меня нет аккаунта, я хочу Зарегистрироваться

How much to ban the user?
1 hour 1 day 100 years