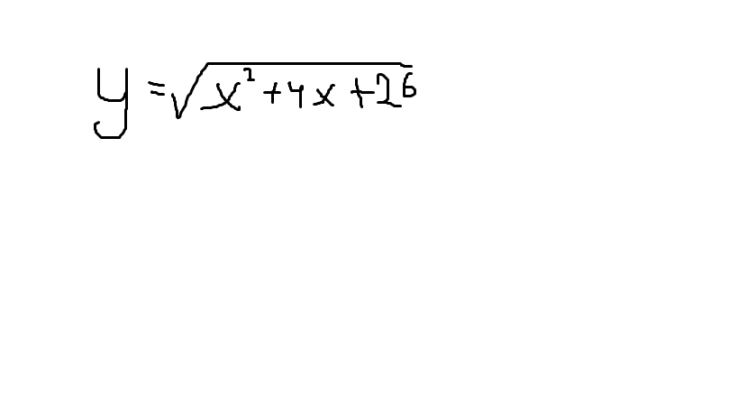
найдите точку минимума функции y=корень из x^2+4x+26
Предмет:
АлгебраАвтор:
music manr58eпроизводна= 1\2(х^+4x+26) в степени 1\2-1 * (x^+4x+26)= 1\2(x^+4x+26) в степени -1\2 * (2х+4)2х+4\ 2* (х^+4x+26)^=02х+4=02х=-4х=-2у(-2)= (4-8+13)^= 9^=3Ответ 3
Автор:
londonq7dvДобавить свой ответ
Помогите с задачей)) напишите дано найти и решение подробно))))
какой объем диоксида азота выделится при взаимодействии азотной кислоты полученной аммиачным способом из 112 л аммиака с медью??
Ответьте на вопросы.
НАСЕЛЕНИЕ АФИН В 5-М ВЕКЕ ДО Н.Э. ДЕЛИЛОСЬ НА ТРИ ГУППЫ
1. ГРАЖДАНЕ
кто в Афинах считался гражданином? какими правами обладал афинский гржданин?
2. ПЕРЕСЕЛЕНЦЫ
1. на каком языке говорили переселенцы? каких богов почитали? предположите, с какими целями жители разных городов переселялись в Афины.
2. чем права переселенцев отличалась от прав афинских граждан?
3.РАБЫ
чем рабы по своим правам отличались от граждан и переселенцев?
Пожалуйста помогите!!!!!!!!!! Найди 99 натуральных чисел ( не обязательно различных), сумма которых равна их произведению.
Предмет:
МатематикаАвтор:
ШахризодаОтветов:
Смотреть
ответ на вопрос:впечатления после прочитанного расказа Князь Серебрянный
Предмет:
ЛитератураАвтор:
skyelaraОтветов:
Смотреть