• ребята помогите пожалуйста
    Решите пожалуйста весь 1 вариант

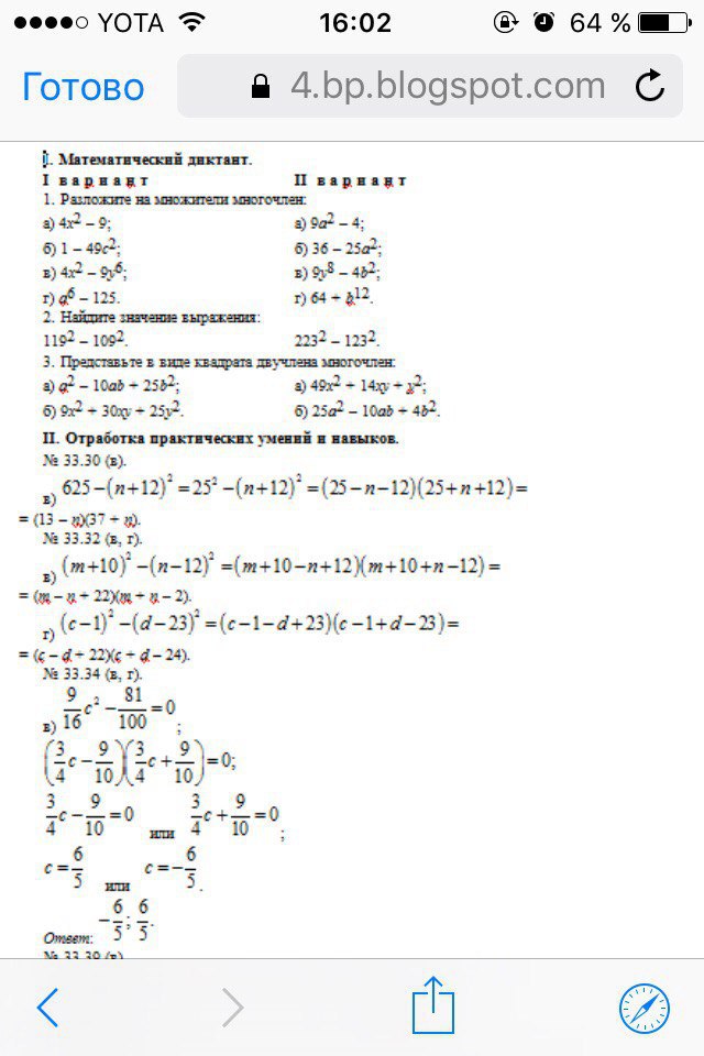
    question img

Ответы 6

  • разве я не правильно написала?
  • Попробуйте на калькуляторе посчитать.
  • я написала правильно, 10^2=100. где вы именно увидели ошибку?
    • Автор:

      harper
    • 6 лет назад
    • 0
  • Нельзя так писать!Вы ещё не возвели числа во-вторую степень, а складывать разные числа нельзя!
  • Распишите это по формуле сокращенного умножения разность квадратов.
    • Автор:

      sheldon
    • 6 лет назад
    • 0
  • I Вариант.№1а) 4x^2-9=(2x-3)(2x+3)б) 1-49c^2=(1-7c)(1+7c)в) 4x^2-9y^6=(2x-3y^3)(2x+3y^3)Извините г не увиделг) a^6-125=a^6-5^3=(a^2-5)(a^4+5a^2+25)№2119^2-109^2=(119-109)(119+109)=10*228=2280№3а) a^2-10ab+25b^2=(a-5b)^2б) 9x^2+30xy+25y^2=(3x+5y)^2
  • Добавить свой ответ

Еще вопросы

Войти через Google

или

Забыли пароль?

У меня нет аккаунта, я хочу Зарегистрироваться

How much to ban the user?
1 hour 1 day 100 years