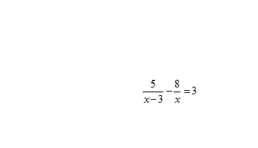
• Всем привет,помогите мне пожалуйста решить этот пример (с общим знаменателем)нечего не получается(

    question img

Ответы 5

  • Огромное спасибо,ответ у меня о ту вообще не получался)))
  • а куда подевалась 5х?
    • Автор:

      dinkybyrd
    • 6 лет назад
    • 0
  • 5х-8(х-3)=5х-8х+24=-3х+24
  • Упростили числитель1 дроби во 2 строке
  • Спасибо)
  • Добавить свой ответ

Войти через Google

или

Забыли пароль?

У меня нет аккаунта, я хочу Зарегистрироваться

How much to ban the user?
1 hour 1 day 100 years