• Задания 10 класса на фото, помогите, пожалуйста.
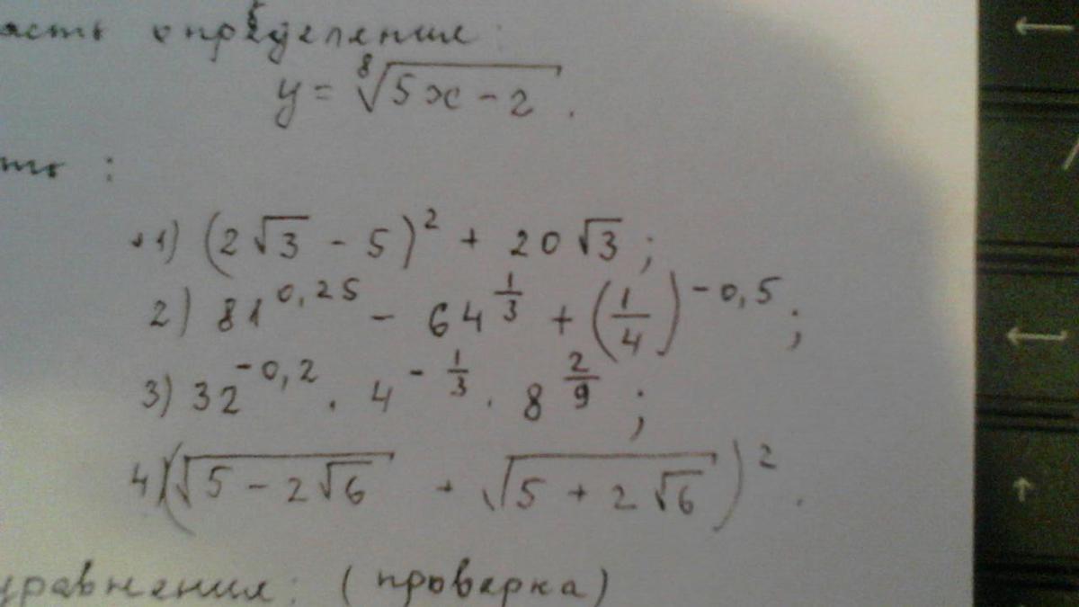
    Вычислите:

    question img

Ответы 1

  • вот решение,пожалуйста
    answer img
  • Добавить свой ответ

Еще вопросы

Войти через Google

или

Забыли пароль?

У меня нет аккаунта, я хочу Зарегистрироваться

How much to ban the user?
1 hour 1 day 100 years