• Нужна ваша помощь!!
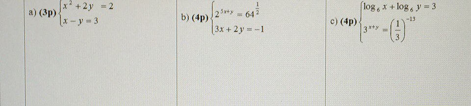
    Решить системы уравнений: (фото внутри)

    question img

Ответы 7

  • Сейчас доделаю
    • Автор:

      javier62
    • 6 лет назад
    • 0
  • Огромнейшее спасибо!!!!
    • Автор:

      skinner
    • 6 лет назад
    • 0
  • Я не доделал последнее)
  • Минутку)
  • В последнем вродь нету корней
    • Автор:

      keller
    • 6 лет назад
    • 0
  • :)Пока что первое. Оно очень легкое)
    answer img
    • Автор:

      hailie
    • 6 лет назад
    • 0
  • 1) \left \{ {{ x^{2}+2y=2 } \atop {x-y=3}} ight.  \left \{ {{ x^{2}+2(x-3)=2} \atop {y=x-3}} ight.  \left \{ {{ x^{2}+2x-6=2} \atop {y=x-3}} ight.  x^{2} +2x-8=0D= b^{2} -4ac=36x1= \frac{-b- \sqrt{D} }{2a} = \frac{-2-6}{2} =-4x1= \frac{-b+ \sqrt{D} }{2a} = \frac{-2+6}{2} =2y1=3-(-4)=7y2=3-2=12.  \left \{ {{ 2^{5x+y}= 64^{ \frac{1}{2} }  } \atop {3x+2y=-1}} ight.  \left \{ {{ 2^{5x+y}=8 } \atop {y=- \frac{1+3x}{2} }} ight.  \left \{ {{ 2^{5x- \frac{1+3x}{2}}= 2^{3}  } } \atop {y=- \frac{1+3x}{2} }} ight. 5x- \frac{1+3x}{2} =3 \frac{7x-1}{2} =37x-1=67x=7x= \frac{7}{7} =1y=- \frac{1+2}{2} =- \frac{3}{2} 3. \left \{ {{ log_{6}x+ log_{6}y =3 } \atop { 3^{x+y}=   (\frac{1}{3}) ^{-13}  }} ight.   \left \{ {{ log_{6}x+ log_{6}y=3 } \atop { 3^{x+y}= 3^{13} }} ight.  \left \{ {{ log_{6}(13-y)+ log_{6}y=3 } \atop {x=13-y}} ight.  \left \{ {{ log_{6}(13-y)y=3} \atop {x=13-y}} ight.  \left \{ {{ log_{6}13y- y^{2}=3} \atop {x=13-y}} ight.  \left \{ {{ 13y- y^{2}= 6^{3}  } \atop {x=13-y}} ight.  y^{2} -13y+216=0D=   b^{2}  -4ac=169-4*216\ \textless \ 0 -нет корней
    answer img
    • Автор:

      elena69
    • 6 лет назад
    • 0
  • Добавить свой ответ

Войти через Google

или

Забыли пароль?

У меня нет аккаунта, я хочу Зарегистрироваться

How much to ban the user?
1 hour 1 day 100 years