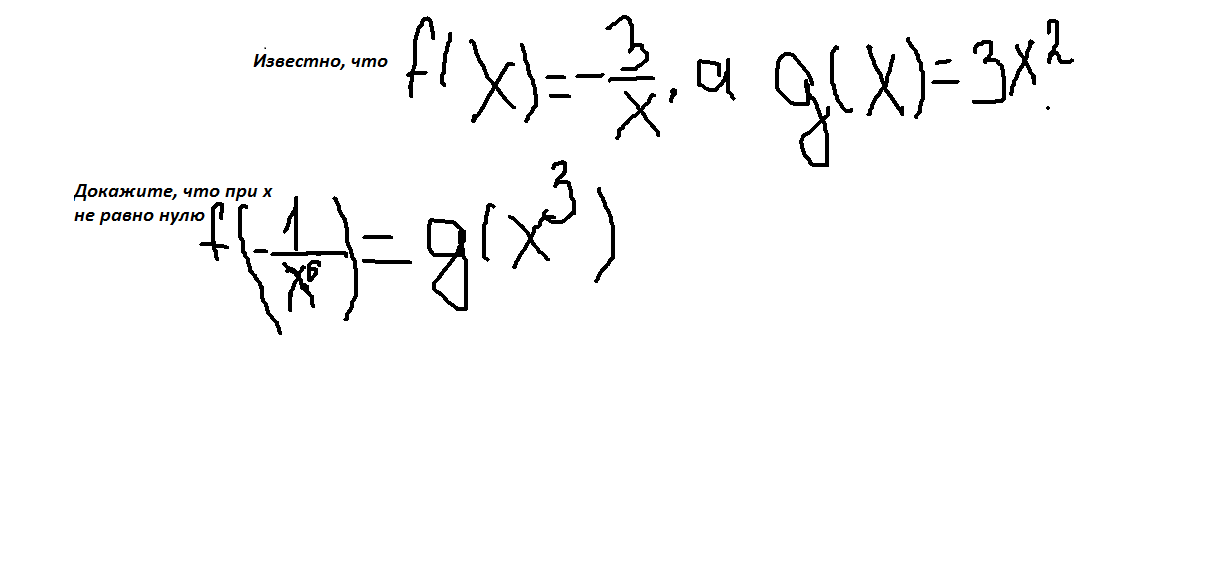
Задание во вложениях. Очень срочно( совсем не понимаю)!
Предмет:
АлгебраАвтор:
mandimelton------------------------------------------------------------------------------------------
Автор:
elifywuДобавить свой ответ
Найдите площадь круг,описанного около правильного треугольника,площадь которого равна 9 корней из 3
Предмет:
АлгебраАвтор:
nicolásdominguezОтветов:
Смотреть
Определите началуьную температуру 0,56 кг азота N2, если при изобарном нагревании до 370 К совершена работа 16,52 кДж на увеличение его объема.
При электро сварке при напряжении 30 в сила тока в дуге достигает 150 А.Каково сопротивление дуги?