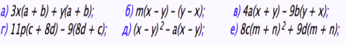
• Решите примеры (Д) и (Е)
    напешите полное решение!!!

    question img

Ответы 4

  • Д) и Е) 
    • Автор:

      jakehne9
    • 6 лет назад
    • 0
  • на кртинке
  • упростить или вычислить что сделать что в задании написано
  • какое задание в упражнении 
    • Автор:

      nickers
    • 6 лет назад
    • 0
  • Добавить свой ответ

Войти через Google

или

Забыли пароль?

У меня нет аккаунта, я хочу Зарегистрироваться

How much to ban the user?
1 hour 1 day 100 years