• Помогите пожалуйста решить уравнение, желательно на листочке)))

    question img

Ответы 1

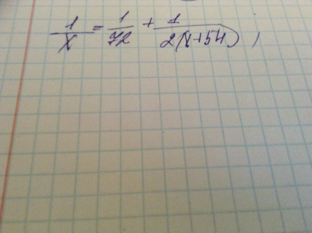
  • x≠0,x≠-5472(x+54)=x(x+54)+36xx²+54x+36x-72x-3888=0x²+18x-288=0x1+x2=-18 U x1*x2=-3888x1=-72 U x2=54
  • Добавить свой ответ

Войти через Google

или

Забыли пароль?

У меня нет аккаунта, я хочу Зарегистрироваться

How much to ban the user?
1 hour 1 day 100 years