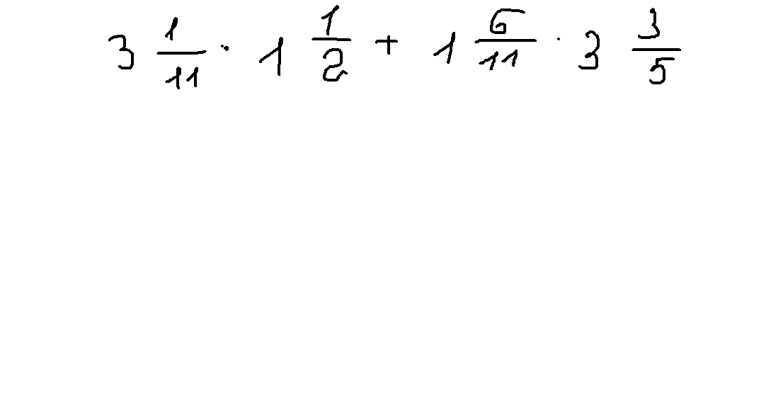
найдите значение выражения (задание из ГИА 2013) 3 целых 1/11 * 1 целая 1/2 + 1 целая 6/11 * 3 целых 3/5
= 34/11 * 3/2 +17/11 *18/5 = 51/11 +306/55=255/55 + 306/55 =561/55=10,2
Автор:
audrinamckinneyДобавить свой ответ
петерсон 1 класс
рост+х=спорт
волк-х=вол
Предмет:
МатематикаАвтор:
rascalОтветов:
Смотреть
Каким количеством нулей оканчивается произведения всех натуральных чисел от 25 до 50
Предмет:
МатематикаАвтор:
myron5uvrОтветов:
Смотреть
Предложение Third Conditional
Предмет:
Английский языкАвтор:
jimenafigueroaОтветов:
Смотреть
Предмет:
ФизикаАвтор:
dutchespsl4Ответов:
Смотреть