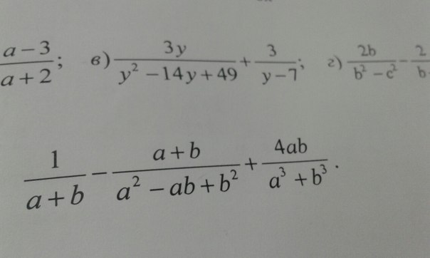
• Помогите решить (а)
    Зарание спасибо вам огромное

    question img

Ответы 2

  • Применена формула сумма кубов и правила действий с алгебраическими дробями
    answer img
    • Автор:

      maxwell77
    • 6 лет назад
    • 0
  • Решение в приложении...........
    answer img
  • Добавить свой ответ

Войти через Google

или

Забыли пароль?

У меня нет аккаунта, я хочу Зарегистрироваться

How much to ban the user?
1 hour 1 day 100 years