• Помогите решить
    общий знаменатель надо найти

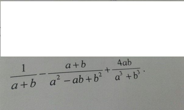
    question img

Ответы 1

  •  \frac{1}{a+b} - \frac{a+b}{a^2-ab+b^2} + \frac{4ab}{a^3+b^3} = \\  \frac{a^2-ab+b^2-(a+b)(a+b)+4ab}{a^3+b^3} = \frac{ab}{a^3+b^3}  \\
    • Автор:

      jay
    • 6 лет назад
    • 0
  • Добавить свой ответ

Войти через Google

или

Забыли пароль?

У меня нет аккаунта, я хочу Зарегистрироваться

How much to ban the user?
1 hour 1 day 100 years