• Вариант 4
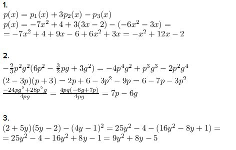
    1. Составьте многочлен p(x)=p1(x)+3p2(x)-p3(x) и запишите его в стандартном виде, если:
        p1(x)=-7x^2+4
        p2(x)=3x-2
        p3(x)=-6x^2-3x
    2. Преобразуйте заданное выражение в многочлен стандарстного вида:
        а) -2/3 p^2g^2(6p^2-3/2pg+3g^2)
        б) (2-3p)(p+3)
        в) (-24pg^2+28p^2g)/(4pg)
    3. Упрастите выражение, используя формулы сокращенного умножения:
        (2+5y)(5y-2)-(4y-1)^2
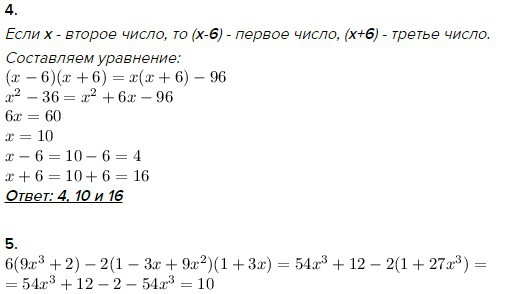
    4. Даны три последовательных числа, из которых каждое следующее на 6 больше предыдущего. Найдите эти числа, если произведение двух крайних чисел на 96 меньше произведения большего и среднего.
    5. Докажите, что значение выражения
        6(9x^3+2)-2(1-3x+9x^2)(1+3x)
        не зависит от значения переменной.

Ответы 1

  • Держи, надеюсь помогла))) Удачи)))
    answer img
    answer img
  • Добавить свой ответ

Войти через Google

или

Забыли пароль?

У меня нет аккаунта, я хочу Зарегистрироваться

How much to ban the user?
1 hour 1 day 100 years