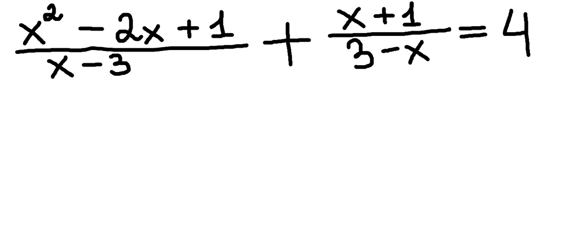
• РЕШИТЬ УРАВНЕНИЕ С ОДЗ

    ЛЮБОЙ СПАМ БУДЕТ СРАЗУ ЖЕ УДАЛЕН!

    question img

Ответы 3

  • Владимир, спасибо за отличный ответ! )
    • Автор:

      budkzar
    • 6 лет назад
    • 0
  • Прекрасный ответ! Спасибо за помощь! :)
    • Автор:

      ronnie
    • 6 лет назад
    • 0
  • ОДЗ Х≠3 \frac{x^2-2x+1}{x-3} + \frac{x+1}{3-x} =4 \\ x^2-2x+1-x-1=4x-12 \\ x^2-7x+12=0 \\ D=1 \\  x_{1} =4 \\  x_{2} =3  \\ корень равный 3 не подходит по ОДЗОТВЕТ Х=4
    • Автор:

      holden265
    • 6 лет назад
    • 0
  • Добавить свой ответ

Еще вопросы

Войти через Google

или

Забыли пароль?

У меня нет аккаунта, я хочу Зарегистрироваться

How much to ban the user?
1 hour 1 day 100 years