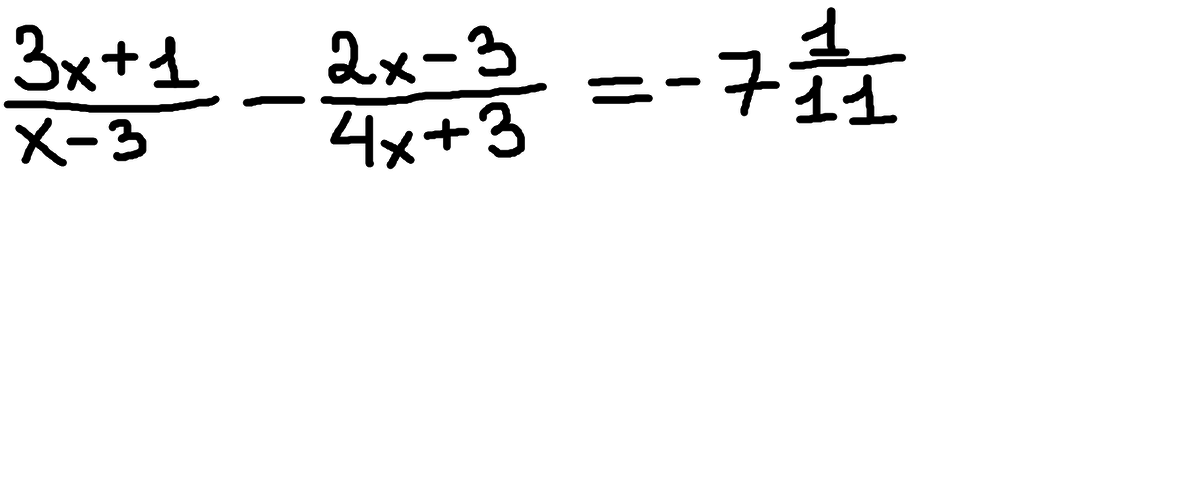
• РЕШИТЬ УРАВНЕНИЕ С ОДЗ
    ЛЮБОЙ СПАМ БУДЕТ СРАЗУ ЖЕ УДАЛЕН!

    question img

Ответы 4

  • Александр, спасибо за труды и оказанную помощь! =)
    • Автор:

      ferguson
    • 6 лет назад
    • 0
  • Спасибо Вам огромнейшее за помощь!!! :))
    • Автор:

      jaxon608
    • 6 лет назад
    • 0
  • ОДЗ:x-3!=0; x!=34x-3!=0; x!=0.75ОДЗ тут в принципе и не нужно, это не неравенство.(3x+1)/(x-3) - (2x-3)/(4x+3)=-78/11Ищем общий знаменатель(на 11 не умножал еще):(3x+1)*(4x+3) - (2x-3)*(x-3)+(78/11)*(4x+3)*(x-3)=012x²+13x+3 - (2x²-9x+9) + (312x²-702x-702)/(11)=0Ищем общий знаменатель и упрощаем:211x²-230x-384=0, больше упростить никак не могуD=230*230+384*211*4=52900+324096=376996x1=(230+614)/422=844/422=2x2=(230-614)/422=-384/422=-192/211Ответ: x=2; -192/211Ответ правильный 100%Вопросы?
  • Решение смотри в приложении
    answer img
    • Автор:

      holden265
    • 6 лет назад
    • 0
  • Добавить свой ответ

Еще вопросы

Войти через Google

или

Забыли пароль?

У меня нет аккаунта, я хочу Зарегистрироваться

How much to ban the user?
1 hour 1 day 100 years