• РЕШИТЬ УРАВНЕНИЯ С ОДЗ )

    ЛЮБОЙ СПАМ БУДЕТ УДАЛЕН!

    question img

Ответы 1

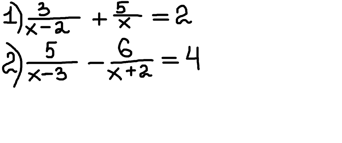
  • 3/(x-2)+5/x=2ОДЗ: x!=0x-2!=0; x!=2Общий знаменатель:2*(4x-5)/(x-2)*x=28x-5=x*(x-2)*2x²-6x+5=0D=36-20=16x=6+-4/2=1;55/(x-3)-6/(x+2)=4ОДЗ: x!=3; x!=-2Общий знаменатель:5/(x-3)-6/(x+2)=x-28/(x-3)(x+2)-(4x²-3x-52/(x-3)(x+2))=04x²-3x-52=0D=9+52*16=841x=3+-29/8=4;-3.25
    • Автор:

      braedon
    • 6 лет назад
    • 0
  • Добавить свой ответ

Еще вопросы

Войти через Google

или

Забыли пароль?

У меня нет аккаунта, я хочу Зарегистрироваться

How much to ban the user?
1 hour 1 day 100 years