• РЕШИТЬ УРАВНЕНИЯ С ОДЗ )

    ЛЮБОЙ СПАМ БУДЕТ СРАЗУ ЖЕ УДАЛЕН!

    question img

Ответы 4

  • Владислав, благодарю Вас за помощь!!! :)
    • Автор:

      Álvaro83
    • 6 лет назад
    • 0
  • Александр, спасибо Вам! Выручаете меня уже какой раз... )
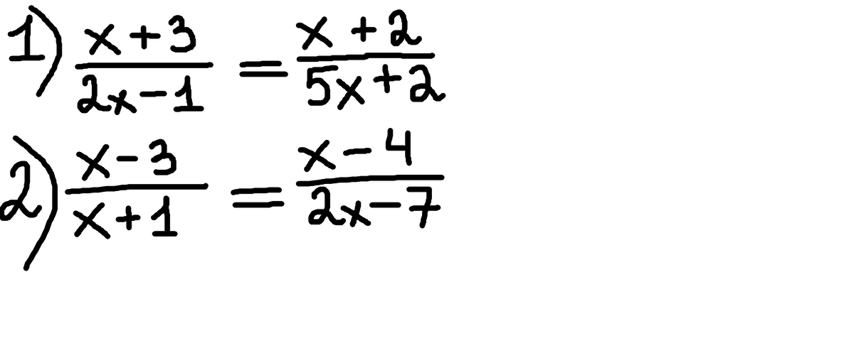
  • \frac{x+3}{2x-1}=\frac{x+2}{5x+2} \\ ODZ= 2x-1 eq 0 ; x eq 0,5 ; \\ 5x+2 eq 0 ; 5x eq -2 ; x eq -0,4; \\ (x+3)(5x+2)=(x+2)(2x-1); \\ 5x^2+2x+15x+6=2x^2-x+4x-2 \\ 5x^2+17x+6-2x^2-3x+2=0 \\ 3x^2+14x+8=0 \\ D=14^2-4*8*3=196-96=100; \\ x_{1,2} = \frac{-14б10}{6} \\ x_1 = -4; x_2 =-2/3 \frac{x-3}{x+1}=\frac{x-4}{2x-7} \\ ODZ: 2x-7 eq 0 ; x eq 7/2; x+1 eq 0 ; x eq -1 \\ (x-3)(2x-7)=(x+1)(x-4) \\ 2x^2-7x-6x+21=x^2-4x+x-4 \\ 2x^2-13x+21-x^2+3x+4=0 \\ x^2-10x+25=0 \\ D=10^2-4*25=0 \\ x=10/2=5
    • Автор:

      kelly50
    • 6 лет назад
    • 0
  • x+3/2x-1=x+2/5x+2ОДЗ: x!=0.5x!=-2/5Общий знаменатель:3x²+14x+8/(2x-1)(5x+2)=03x³+14x+8=0D=196-96=100x=-14+-10/6=-4; -2/3(x-3)/(x+1)=(x-4)/(2x-7)ОДЗ:x!=-1x!=3.5Общий знаменатель:x²-10x+25/(x+1)(2x-7)=0x²-10x+25=0D=100-100=0x=10/2=5
    • Автор:

      spicy
    • 6 лет назад
    • 0
  • Добавить свой ответ

Войти через Google

или

Забыли пароль?

У меня нет аккаунта, я хочу Зарегистрироваться

How much to ban the user?
1 hour 1 day 100 years