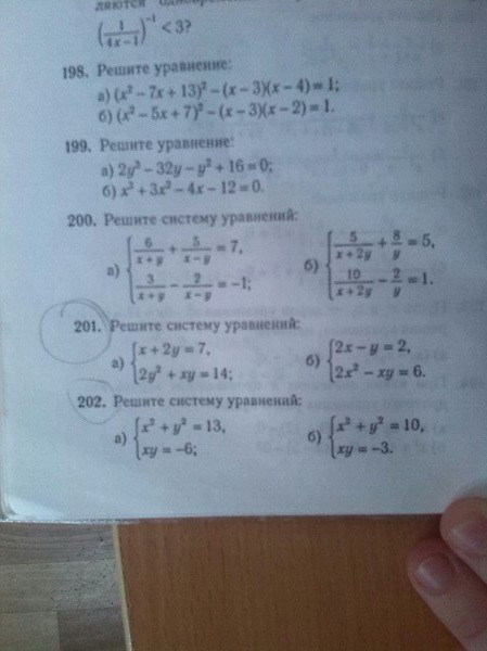
• помогите пожалуйста решить номера 201(а) и 203(б)
    даю 35 баллов

    question img
    question img

Ответы 3

  • 203( б )
  • Не смогу написать уже
    • Автор:

      bobbie
    • 6 лет назад
    • 0
  • 201 ( a ) x+2y=72y^2 + xy = 14x=7-2y2y^2 + y(7-2y)=14x=7-2y2y^2 + 7y - 2y^2=14x=3y=2
    • Автор:

      kaylen
    • 6 лет назад
    • 0
  • Добавить свой ответ

Войти через Google

или

Забыли пароль?

У меня нет аккаунта, я хочу Зарегистрироваться

How much to ban the user?
1 hour 1 day 100 years