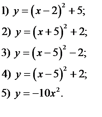
• Укажите формулу функции, график которой получается из графика функции y=x^2 смещением его на 5 единичных отрезков влево вдоль оси абсцисс и на 2 единичных отрезка вверх вдоль оси ординат. И варианты ответов:

    question img

Ответы 1

  • y=x²⇒y=(x-5)²+2;вариант4
    • Автор:

      wilcox
    • 6 лет назад
    • 0
  • Добавить свой ответ

Еще вопросы

Войти через Google

или

Забыли пароль?

У меня нет аккаунта, я хочу Зарегистрироваться

How much to ban the user?
1 hour 1 day 100 years