• Алгебра 7 класс, желательно решение всех примеров. Заранее спасибо!!

    question img

Ответы 2

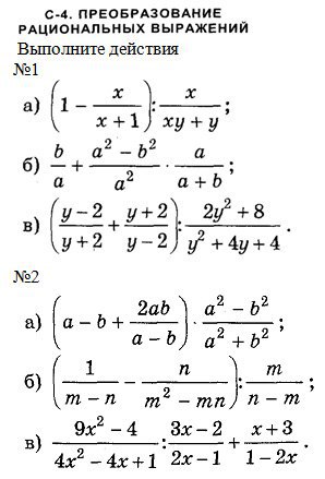
  • a) (x+1-x)/(x+1)=1/(x+1) (1/(x+1)*(y(x+1)/x= =(1*y(x+1)/ /(x+1)*x=y/x b) a²-b²=(a-b)(a+b) (a-b)(a+b)*a)/ /(a² *(a+b))=(a-b)/a b/a+(a-b)/a=(b+a-b)/a=a/a=1
    • Автор:

      jaidyn27
    • 5 лет назад
    • 0
  • a) (x+1-x)/(x+1)=1/(x+1)(1/(x+1)*(y(x+1)/x==(1*y(x+1)//(x+1)*x=y/xb) a²-b²=(a-b)(a+b)(a-b)(a+b)*a)//(a² *(a+b))=(a-b)/ab/a+(a-b)/a=(b+a-b)/a=a/a=1
    • Автор:

      ginger64
    • 5 лет назад
    • 0
  • Добавить свой ответ

Еще вопросы

Войти через Google

или

Забыли пароль?

У меня нет аккаунта, я хочу Зарегистрироваться

How much to ban the user?
1 hour 1 day 100 years