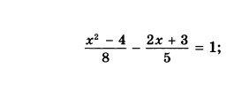
• Ребят,я чего-то сегодня туплю немного,помогите пожалуйста,на какое число нужно умножить,чтобы избавиться от знаменателя

    question img

Ответы 1

  • На число (5*8)=40.............
  • Добавить свой ответ

Войти через Google

или

Забыли пароль?

У меня нет аккаунта, я хочу Зарегистрироваться

How much to ban the user?
1 hour 1 day 100 years