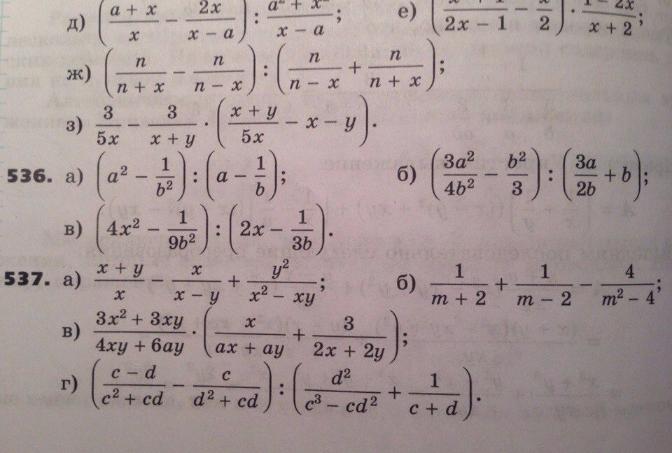
• ПОЖАЛУЙСТА, РЕШИТЕ 536! БУДУ БЛАГОДАРНА ХОТЬ ЗА ОДИН РЕШЕННЫЙ

    question img

Ответы 2

  • Решение№ 536(а)(a² - 1/b²) : (a - 1/b) = [(a²b² - 1)* b] / [b² *(ab - 1)] = = [(ab - 1)*(ab + 1)] / [b * (ab - 1)] = (ab + 1)/b = a + 1/b
  • -:)))))))))))))))))))))))))))))))))))))))))))))))))))))))
    answer img
  • Добавить свой ответ

Еще вопросы

Войти через Google

или

Забыли пароль?

У меня нет аккаунта, я хочу Зарегистрироваться

How much to ban the user?
1 hour 1 day 100 years