• Пожалуйста помогите решить это уравнение,а то в этой теме ничего не понял.

    question img

Ответы 1

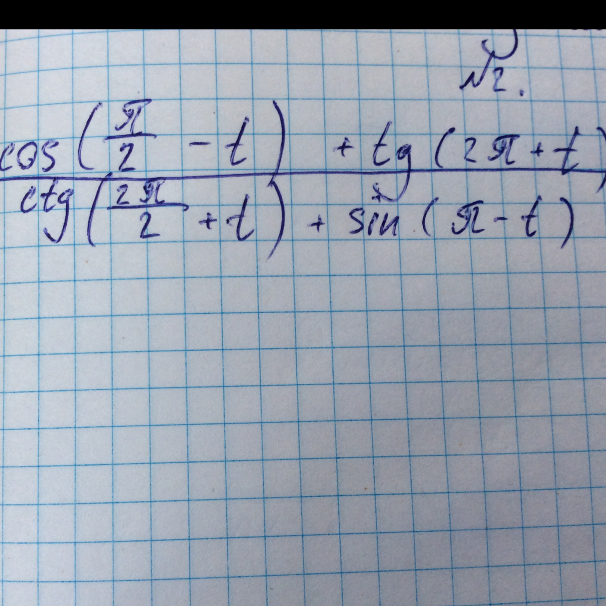
  • Здесь надо "прицепить" формулы приведения. Делаем по частям:Cos(π/2 - t) = Sint,   tg(2π + t) = tgt,  Ctg(3π/2 + t) = -tgt, Sin(π-t) = Sintсам пример:(Sint + tgt)/(Sint - tgt)
  • Добавить свой ответ

Войти через Google

или

Забыли пароль?

У меня нет аккаунта, я хочу Зарегистрироваться

How much to ban the user?
1 hour 1 day 100 years