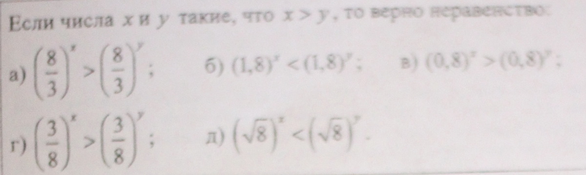
• Если числа x и y такие, что x>y, то верно неравенство.
    Помогите пожалуйста

    question img

Ответы 1

  • a) верно, т. к. (8/3)>1;б) неверно, т.к. 1,8>1;в) неверно, т.к. 0,8<1;г) неверно, т. к.(3/8)<1;д) неверно, т.к. √8≈2,83>1.
    • Автор:

      patches
    • 6 лет назад
    • 0
  • Добавить свой ответ

Войти через Google

или

Забыли пароль?

У меня нет аккаунта, я хочу Зарегистрироваться

How much to ban the user?
1 hour 1 day 100 years