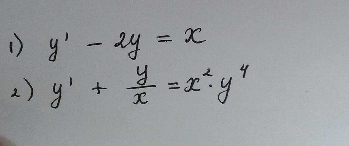
• диффиринциальное обычное первого порядка решите 1,2

    question img

Ответы 1

  • 1)\; \; y'-2y=x\; ,\; \; \; y=uv\; ,\; y'=u'v+uv'\\\\u'v+uv'-2uv=x\\\\u'v+u(v'-2v)=x\\\\a)\; \frac{dv}{dx}-2v=0\; ,\; \; \int \frac{dv}{v}=2\int dx\; ,\; lnv=2x\; ,\; v=e^{2x}\\\\b)\; \frac{du}{dx}\cdot e^{2x}=x\; ,\\\\ \int du=\int x\cdot e^{-2x}dx=[t=x,\; dt=dx,\; dp=e^{-2x}dx,\; p=-\frac{1}{2}e^{-2x}]\\\\u=-\frac{x}{2}e^{-2x}+\int \frac{1}{2}e^{-2x}dx=-\frac{x}{2}e^{-2x}-\frac{1}{4}e^{-2x}+C\\\\u=-\frac{e^{-2x}}{2}(x+\frac{1}{2})+C\\\\c)\; y=e^{2x}\cdot \frac{-e^{-2x}}{2}(x+\frac{1}{2})+e^{2x}\cdot Cy=-\frac{1}{2}(x+\frac{1}{2})+e^{2x}\cdot C\\\\2)\; \; y'+\frac{y}{x}=x^2y^4\; ,\; \; y=uv\\\\u'v+uv'+\frac{uv}{x}=x^2(uv)^4\\\\a)\; v'+\frac{v}{x}=0,\; \frac{dv}{dx}=-\frac{v}{x},\; \int \frac{dv}{v}=-\int \frac{dx}{x},\\\\ lnv=-lnx,\; v=x^{-1}=\frac{1}{x}\\\\b)\; u'\cdot \frac{1}{x}=x^2u^4\cdot \frac{1}{x^4}\\\\\int \frac{du}{u^4}=\int \frac{dx}{x}\\\\\frac{u^{-3}}{-3}=ln|x|+lnC\; ,\; \; -\frac{1}{3u^3}=ln|Cx|\; ,\; \; u^3=-\frac{1}{3ln|Cx|}\\\\u=-\sqrt[3]{\frac{1}{3ln|Cx|}}=-\frac{1}{\sqrt[3]{3ln|Cx|}}c)\; y=-\frac{1}{x\sqrt[3]{3ln|Cx|}}
  • Добавить свой ответ

Войти через Google

или

Забыли пароль?

У меня нет аккаунта, я хочу Зарегистрироваться

How much to ban the user?
1 hour 1 day 100 years