• Помогите решить,пожалуйста!!!!С подробным решением!

    question img

Ответы 3

  • Спасибо большое! Только в 1 степень -5n и у меня в итоге получается по-другому..
    • Автор:

      sean75
    • 6 лет назад
    • 0
  • все,поняла))
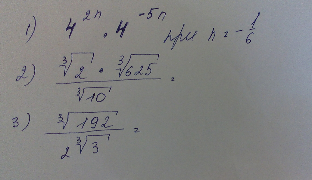
  • 4²ⁿ*4⁻⁵ⁿ=4⁽²ⁿ⁻⁵ⁿ⁾=4⁻³ⁿ=4⁽⁻³⁾ˣ⁽⁻¹/⁶)=4¹/²=2.∛2*∛625/∛10=∛1250/∛10=∛125=5.∛192/(2/∛3)=∛(192/3)/2=∛64/2=4/2=2.
  • Добавить свой ответ

Войти через Google

или

Забыли пароль?

У меня нет аккаунта, я хочу Зарегистрироваться

How much to ban the user?
1 hour 1 day 100 years