• Решите уравнение плиз)))
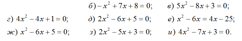
    a)-x^2+7x+8=0
    б)5x^2-8x+3=0
    в)4x^-4x+1=0
    г)2x^2-6x+5=0
    д)x^2-62=4x-25
    е)x^2-6x+5=0
    ж)2x^2-5x+3=0
    з)4x^2-7x+3=0

    question img

Ответы 1

  • х²-7х-8=0D=b²-4acD=49+32=81√D=√81=9 x=7-9/2=-1x=7+9/2=85x²-8x+3=0D=64-60=4√4=2x=8-2/10=0,6x=8+2/10=14х²-4х+1=0D=16-16=0x=4/8=0,52х²-6х+5=0D=36-40=-4<0 -Нет решениях²-62-4х+25=0х²-4х-37=0D=16+148=164x=62+√164/2x=62-√164/2x²-6x+5=0D=36-20=16√16=4x=6-4/2=1x=6+4/2=52x²-5x+3=0D=25-24=1x=5+1/6=1x=5-1/6=2/34x²-7x+3=0D=49-48=1x=7-1/8=3/4=0,75x=7+1/8=1
    • Автор:

      nickolas
    • 6 лет назад
    • 0
  • Добавить свой ответ

Войти через Google

или

Забыли пароль?

У меня нет аккаунта, я хочу Зарегистрироваться

How much to ban the user?
1 hour 1 day 100 years