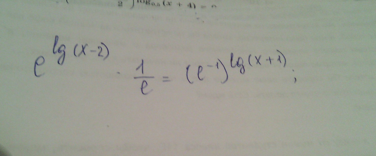
• Помогите с алгеброй пожалуйста . решите уравнение е ^lg (x-2) * 1/e = (e ^-1)^lg(x+1)

    question img

Ответы 1

  • Можно написать: lg(x-2)+lg(x+1) =1, приравняв показатели степени.Тогда (х-2)*(х-1)=1х*х-3х+2=1х*х-3х+2,25=1,25(х-1,5)*(х-1,5)=0.5*0,5*5х=1,5+0,5*sqrt(5)Второй корень не годится по ОДЗ (выражение под знаком первого логарифма станет отрицательно)
    • Автор:

      borja
    • 6 лет назад
    • 0
  • Добавить свой ответ

Войти через Google

или

Забыли пароль?

У меня нет аккаунта, я хочу Зарегистрироваться

How much to ban the user?
1 hour 1 day 100 years