• Help! Не могу решить задание из теста, внизу на фото (под выражением) указаны ответы (1 из них должен быть верным), но у меня всё время получаются другие ответы. Нужно решение, в развёрнутом виде если можно.

    question img

Ответы 2

  • спасибо, уже понял в чём был мой косяк, я машинально основания степеней (2) в степень возвёл в обеих скобках, от того и не получалось.
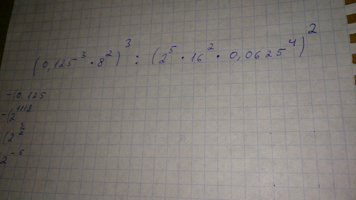
  • (0.125^3\cdot 8^2)^3:(2^5\cdot 16^2\cdot 0.0625^4)^2=\\\\
=(\frac{1}{8}^3\cdot (2^3)^2)^3:(2^5\cdot (2^4)^2\cdot (\frac{1}{16})^4)^2=\\\\
=((2^{-3})^3\cdot (2^3)^2)^3:(2^5\cdot (2^4)^2\cdot (2^{-4})^4)^2=\\\\
=(2^{-9}\cdot 2^6)^3:(2^5\cdot 2^8\cdot 2^{-16})^2=\\\\
=(2^{-3})^3:(2^{-3})^2=(2^{-9}):(2^{-6})=2^{-3}=\frac{1}{8}=\\\\
=0.125Ответ: 0,125.
    • Автор:

      ducky6nio
    • 6 лет назад
    • 0
  • Добавить свой ответ

Войти через Google

или

Забыли пароль?

У меня нет аккаунта, я хочу Зарегистрироваться

How much to ban the user?
1 hour 1 day 100 years