• Нужно решить систему неравенств и указать ее наименьшее натуральное решение!

    question img

Ответы 1

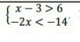
  • {x-3>6{-2x<-141)x-3>6   x>6+3   x>92)-2x<-14     2x>14     x>7__________(7)_________                       ///////////////////_______________(9)____                                 //////////Решением системы является промежуток (9; + беск.)Наименьшее натуральное решение = 10
  • Добавить свой ответ

Войти через Google

или

Забыли пароль?

У меня нет аккаунта, я хочу Зарегистрироваться

How much to ban the user?
1 hour 1 day 100 years