• объясните, пожалуйста, решение
    в корнях не разбираюсь..

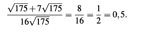
    question img

Ответы 1

  • здесь очень просто:в числителе сложим 1 корень из 175+ 7 корней из 175=8 корней из 175.а в знаменателе 16 корней из 175 .сократим. получим 1/2=0,5
  • Добавить свой ответ

Еще вопросы

Войти через Google

или

Забыли пароль?

У меня нет аккаунта, я хочу Зарегистрироваться

How much to ban the user?
1 hour 1 day 100 years