Помогите пожалуйста решить .. путаюсь в этом...
Предмет:
АлгебраАвтор:
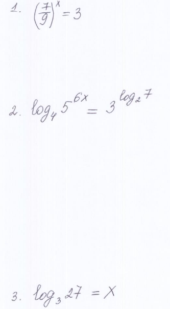
matilda89hk1) (7/9)^х=3, x=log(7/9)3 {основание логарифма - 7/9, а аргумент - 3}
3) log₃27=log₃3³=3, x=3
2) 6x*log₄5=3^(log₂7)
x=3^(log₂7) : 6log₄5
Автор:
louisgtwg1)
2)
3)
x=3
///////////////////////////////////////////////////////////////////////////////////////////////////////////////////
Автор:
marcoДобавить свой ответ
споріднені слова дружба.думка.родина.вдумливий.зародок.вродливий.придумати.дружок.задуматьсь.видумати
Предмет:
Українська моваАвтор:
godofredoandrewsОтветов:
Смотреть
Решить систему уравнений: [tex]\left \{ {{7x+24y=65} \atop {\frac{3}{4x+13}-\frac{1}{y}=0}} ight.[/tex] ПОМОГИТЕ ПОЖАЛУЙСТА
Предмет:
АлгебраАвтор:
gabriellaxxbtОтветов:
Смотреть
Помогите,пожалуйста,решить задачу!!!!
Дочери 8 лет,а матери 38.Через сколько лет мать будет вдвое старше дочери?Реши задачу при помощи уравнения.
Предмет:
МатематикаАвтор:
cottonljssОтветов:
Смотреть
Напишите пожалуйста уравнения следующих взаимодействий: а) аминоуксусная кислота + HCI; + NaОН; +HNO2; С2Н5ОН (Н+); б) глюкоза +HOBr (окислитель); + Н2/Ni; + С2Н5ОН (+НСI); в) диметиламин + HCI; затем NaОН, CH3CI (избыток). Назовите продукты реакций
Предмет:
ХимияАвтор:
gretchenhodgesОтветов:
Смотреть