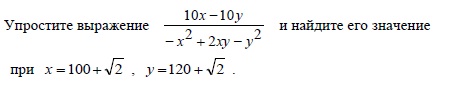
Помогите с решением.Решите только весь пример с небольшим объяснением.ПОЖАЛУЙСТА.Заранее огромное спасибо
Предмет:
АлгебраАвтор:
milagroscohen1)Числитель:
вынесем 10 за скобки
10(x-y)
2)В знаменателе формула квадрата разности в развёрнутом виде
-x^2+2xy-y^2 = -(x^2-2xy+y^2) = - (x-y)^2
3)Получили
( 10(x-y ) ) / ( - (x-y)^2 )
4)Сократим на скобку (x-y )
Получили
10/ - (x-y)
Подставляем
10/(-1)*( 100 + корень(2) - 120 - корень (2) )
5)Получаем 10/ (-1)*( -20) = 1/2
Автор:
muffinqkbf10x-10y - вынесем 10 за скобку: 10x-10y=10(x-y)
-x^2+2xy-y^2 - вынесем -1 за скобку, а то что в скобке свернем по формуле (a-b)^2=a^2-2ab+b^2: -(x^2-2xy+y^2)=-(x-y)^2
Тогда выражение
(10x-10y)/(-x^2+2xy-y^2) примет такой вид:
10(x-y)/(-(x-y)^2) - (x-y) сокращается, остается:
-10/(x-y)
подставим
x=100+sqrt2
y=120+sqrt2
в -10/(x-y), получим:
-10/(100+sqrt2-120-sqrt2)=-10/-20=1/2
Автор:
lucaloulДобавить свой ответ
Пожалуйста помогите с химией! №1напишите молекулярные формулы нормальных и кислых солей,которые могут быть получены в результате замещения:а)атомов водорода в молекуле сероводородной кислоты атомами алюминия.б)атомов водорода в молекуле фосфорной кислоты атомами железа(3три)
помогитее пожалуйстаа))какую знаете такую и решите плизз)
1.) найдите объем цилиндра, высота которого равна 7 см, а радиус основания 5см.
2.) найдите объем правильной четырехугольной пирамиды, боковое ребро которой равно 6 см и образует с её высотой угол 45 градусов.
3.) нарисуйте сферу, описанную вокруг правильного октаэдра.
Предмет:
МатематикаАвтор:
maggie-maedelacruzОтветов:
Смотреть