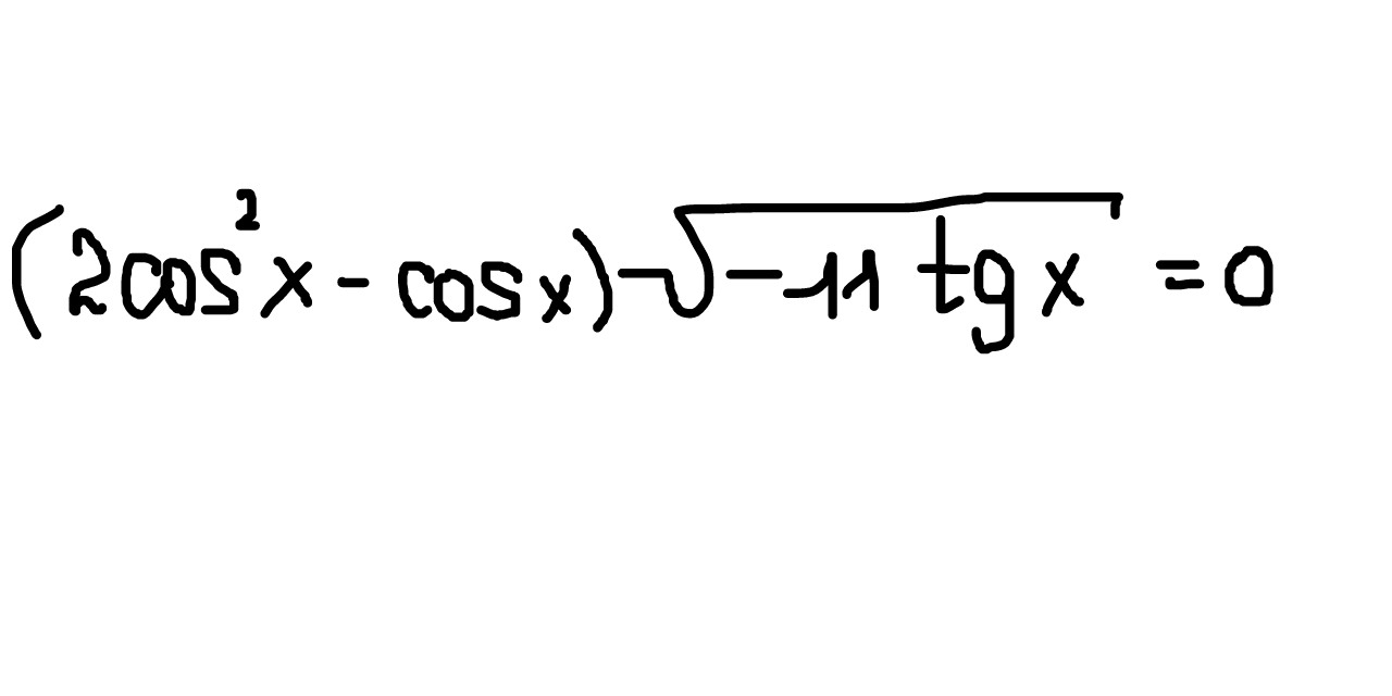
2cos^2x-cosx =0 (-11tgx)^(1:2)=0
cosx=0 cosx=1:2 -11tgx=0
x=+-(п:2)+пm tgx=0
m целое x=пh h целое
Автор:
krishshahДобавить свой ответ
Для элементов с переменной валентностью приведите химические формулы оксидов и хлоридов;Fe(II и III);P(III и V);Br(I и III)
496/x=48/12 решить уравнение
Предмет:
МатематикаАвтор:
jewelfaulknerОтветов:
Смотреть
ввести действительные числа x,y,z. вычислить и выдать на печать значение числа m такого что m=max(x,y,z)/min(x-y,x-z,y-z)
Предмет:
ИнформатикаАвтор:
deannoibОтветов:
Смотреть
Фонетический разбор слова суп!
Предмет:
Русский языкАвтор:
fernandou84vОтветов:
Смотреть