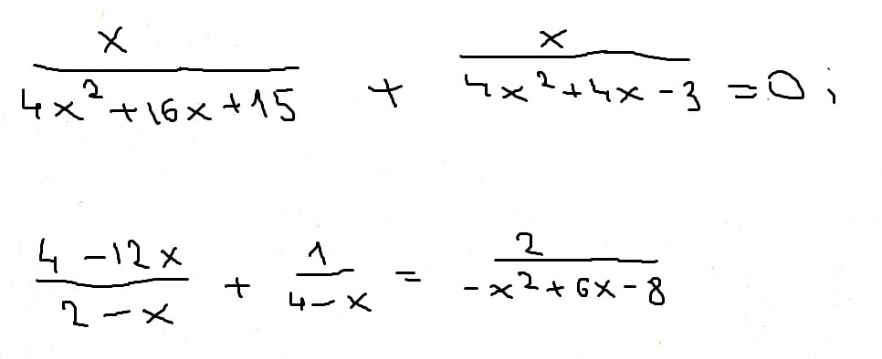
• Помогите, пожалуйста, с решением квадратных уравнений!

    question img

Ответы 1

  • Спасибо за решение 1-го уравнения! Не могли бы, Вы, помочь и со вторым?
  • Добавить свой ответ

Войти через Google

или

Забыли пароль?

У меня нет аккаунта, я хочу Зарегистрироваться

How much to ban the user?
1 hour 1 day 100 years