• Вычислите:
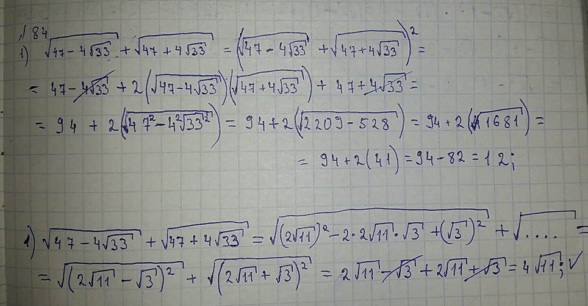
    [tex]\sqrt{47-4\sqrt{33}}+\sqrt{47+4\sqrt{33}}[/tex]
    Решил выделением квадрата в подкоренном выражении, и получил правильный ответ, который равен [tex]4\sqrt{11}[/tex].
    А решая возведением в квадрат всего выражения получил в ответе 12. Разве так нельзя? Добавил снимок решений первым и вторым способом.

    Другой пример:
    [tex]\sqrt[3]{5\sqrt2-7}*\sqrt{3+2\sqrt2}[/tex]
    Выделил квадрат под корнем второго множителя, и это же выражение оказалось под корнем первого множителя, но в кубе. Т.е. вот:
    [tex]\sqrt{3+2\sqrt2}=\sqrt{(\sqrt2)^2+2\sqrt2+1}=\sqrt{(\sqrt2+1)^2}=\sqrt2+1;\\\sqrt[3]{(\sqrt2-1)^3}=\sqrt[3]{(\sqrt2)^3-3(\sqrt2)^2+3\sqrt2-1}=\sqrt[3]{5\sqrt2-7};\\
    \sqrt[3]{5\sqrt2-7}*\sqrt{3+2\sqrt2}=(\sqrt2-1)(\sqrt2+1)=2-1=1[/tex]

    Скорее мне больше повезло с этим примером, т.к. второй множитель помог. А вообще есть ли лучший способ выделить квадрат или куб, т.е. как их "увидеть"? ...даже не знаю как правильнее изложить свой вопрос, надеюсь поймете.

    Прошу модераторов НЕ удалять сразу. Я возможно получу объяснения/ответы в личные сообщения, тогда и напишу вам, что можете удалить, в случае чего.

    question img

Ответы 4

  • ох, с чего же я плюс поменял на минус! нелепую ошибку допустил)
  • если выделением квадрата или куба, то как их "увидеть"? Вот во втором примере без второго множителя я бы долго голову ломал над действием выделить куб подкоренного выражения третьей степени (5√-7)
    • Автор:

      boo bear
    • 6 лет назад
    • 0
  • (5√2-7)
    • Автор:

      ewing
    • 6 лет назад
    • 0
  • У вас ошибка в последней строчке 1 способа94+2*41=94-82=12 неверно94+2*41=94+82=176Так как возводили выражение в квадрат,то теперь обратное действие извлечение корня из 176√176=4√11Ответы получаются одинаковые.Выбирают тот ,что удобнее и требует меньше вычислений.В данном случае по моему мнению это 1.А вот во 2 примере удобнее выделение,чем возведение в 6 степень.
  • Добавить свой ответ

Еще вопросы

Войти через Google

или

Забыли пароль?

У меня нет аккаунта, я хочу Зарегистрироваться

How much to ban the user?
1 hour 1 day 100 years