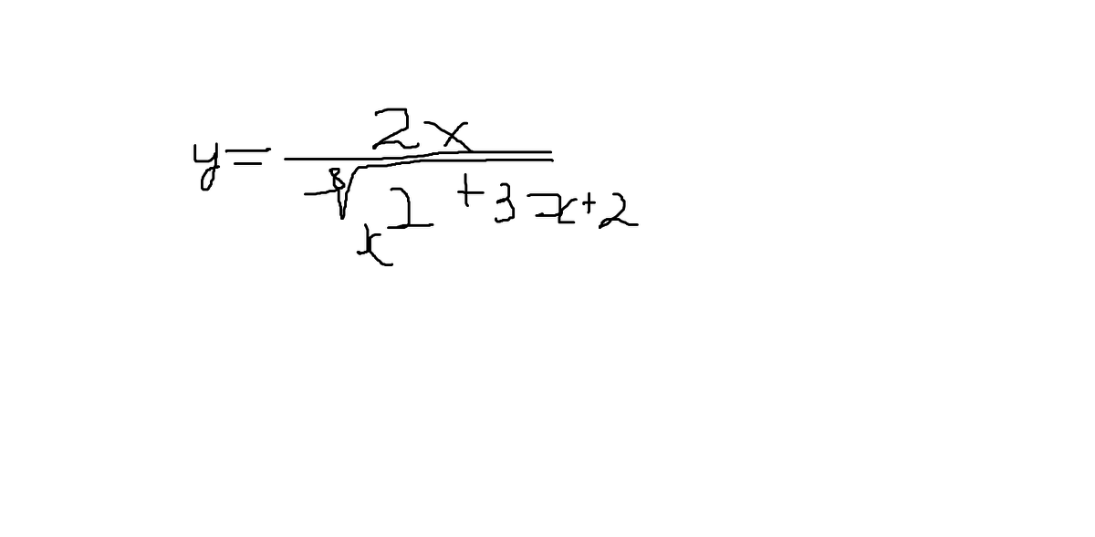
• Укажите область определения функции.Помогите решить пожалуйста(если будут вопросы по поводу самого примера задавайте)

    question img

Ответы 1

  • Во первых нельзя допустить деления на ноль:Поэтому найдем корни подкоренного уравнения:x^2+3x+2=0 \sqrt{D}= \sqrt{9-8}=1  x_{1,2}= \frac{-3\pm1}{2}=(-2),(-1) Поэтому сразу пишем:x eq (-2),(-1)Так как данный корень является 8 степенью. То нельзя так же допустить что бы корень был из отрицательного числа.Так как мы уже нашли корни уравнения. То запишем эти числа на числовой прямой, тем самым увидим что есть 3 интервала, теперь вообщем их знаки:(-\infty,-2)=+(-2,-1)=-(-1,+\infty)=+Значит:xotin (-2,-1)Отсюда следующее ОДЗ:x\in (-\infty,-2)\cup(-1,+\infty)ОДЗ тоже самое как и область определения.D(f)=(-\infty,-2)\cup(-1,+\infty)
    • Автор:

      bandit42
    • 6 лет назад
    • 0
  • Добавить свой ответ

Войти через Google

или

Забыли пароль?

У меня нет аккаунта, я хочу Зарегистрироваться

How much to ban the user?
1 hour 1 day 100 years