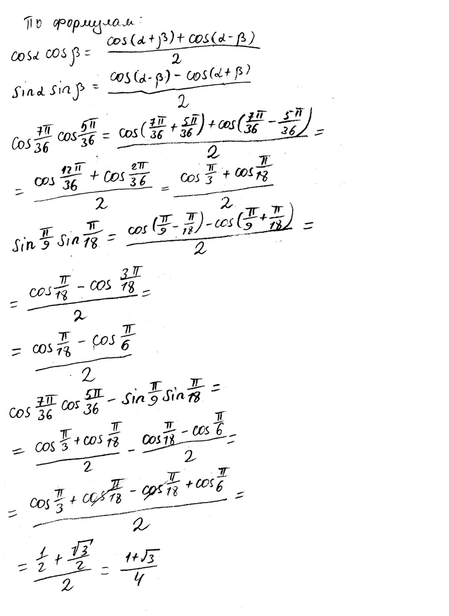
• Вычислите Cos 7п/36 cos 5п/36 - sin п/9 sin п/18

Ответы 1

  • решение в приложении
    answer img
  • Добавить свой ответ

Войти через Google

или

Забыли пароль?

У меня нет аккаунта, я хочу Зарегистрироваться

How much to ban the user?
1 hour 1 day 100 years