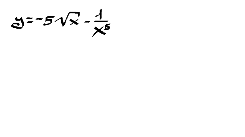
Помогите найти производную функции.
(пример во влажениях )
Автор:
redfiwfДобавить свой ответ
народні прикмети щоб був суфікс ше,іше,і з прислівниками.
Предмет:
Українська моваАвтор:
parisbuckleyОтветов:
Смотреть
Как вы думаете, какая группа растений - однодомных, двудомных или с обоеполыми цветками - являются наиболее прогрессивной? Почему?
Геометрическая прогрессия.найти b1 и Sn если q=1\3 ,n=6 ,bn=5\81
1)Вставьте пропущенное слово:
Протон и нейтроны составляют ...?
2)Вставьте пропущенное слово:
Энергия движения частиц -это ... энергия.